電話:13570151199
傳真:020-39972520
郵箱:hanyan@hanyancarbon.com
地址:廣東省廣州市番禺區東環街番禺大道北555號天安總部中心30號樓6層
在通過環保程序獲得的天然來源的食品添加劑,而不是合成產品。這是當前的食品消費趨勢,是大多數消費者對食品加工業發展方向的改變。為了滿足消費者的需求,在食品行業,植物由于其防御和適應機制而從其二次代謝衍生而來,被廣泛用作生物活性化合物的主要來源。從這個意義上講,多酚由于在植物界無處不在并且具有感官和綠色的特性而在此類領域引起了很多關注。特別是,由于它們對氧化應激的強抗氧化活性。吸附到活性炭是多酚的從復合物的水溶液中完整的分離經濟的方法。活性炭通常從不同的低成本天然來源,包括農業殘余物,林業和工業廢物進行,并且它通常在吸附過程用于環境應用過多,例如廢水處理。
作為吸附劑,活性炭具有通過物理力將大分子溶液附著在其表面上而使它們保持化學完整性的能力,從大體積溶液中提取化合物。該吸附過程通常在某種程度上是可逆的,這意味著被吸附的化合物可以最終被回收,并且活性炭是可以再生,從而提高其有效的可重復使用性。其中,多酚被吸附在活性炭的表面,并鑒于其在食品和業中的重要性,對其吸附過程進行了多次的研究。但是,有限的研究集中在使用活性炭從復雜植物提取物中吸附多酚的研究上,甚至在吸附后的回收上更少。在這里,我們提出將植物體外培養與活性炭結合使用的方法,以根據當前的工業需求和日益增長的成本提供一種低成本,高效和可持續的方法,以克服傳統的多酚提取與有機溶劑的局限性社會對環境保護的認識。
沒食子酸和沒食子酸丙酯的吸附動力學:溫度效應
圖1顯示了典型的動力學圖,說明了沒食子酸和沒食子酸丙酯在平衡(q)時每質量活性炭吸附的抗氧化劑的量隨時間的變化。還顯示了在不同溫度下至少三個半衰期(相關系數>0.99)的相應一階圖。在所有情況下,吸附曲線均顯示在4h后達到平衡,并至少維持24h,這是后續研究的時間。

圖1:活性炭的吸附動力學圖。
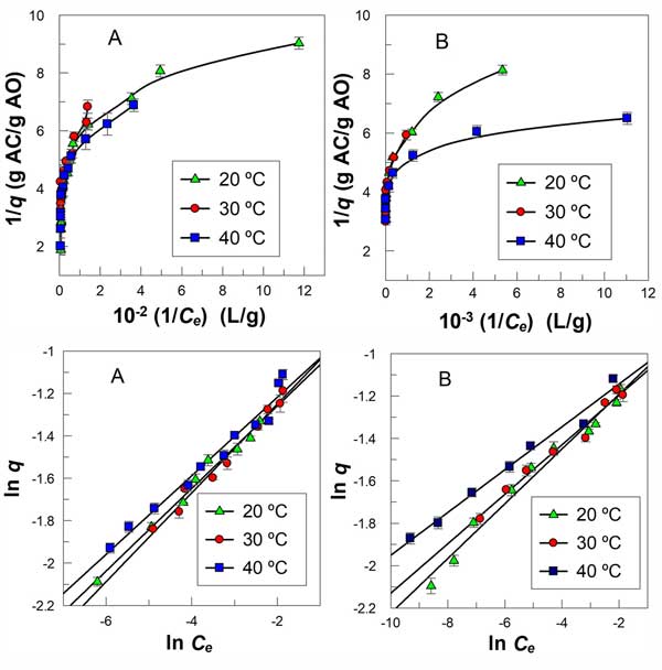
活性炭對沒食子酸和沒食子酸丙酯的吸附等溫線
在不同的活性炭量下,評估了溫度(T=20–40°C)對沒食子酸和沒食子酸丙酯吸附過程的影響。實驗吸附平衡數據擬合到兩個等溫線模型,Langmuir和Freundlich方程,并評估了擬合優度。圖2。在研究的交流范圍內獲得了非線性圖。因此,結果表明該模型不適用于描述沒食子酸和沒食子酸丙酯在活性炭上的吸附。注意,在任何給定的活性炭質量下,溫度的變化都會導致沒食子酸和沒食子酸丙酯的吸附能力發生非常小的變化,差異小于2%。

圖2:(A)沒食子酸和(B)食子酸丙酯在不同溫度下的Langmuir吸附等溫線。
苔蘚植物水提取物中的多酚吸附
因為我們已經表明溫度的變化僅對沒食子酸和沒食子酸丙酯的吸附過程有較小的影響,所以我們僅研究了苔蘚植物水提取物在單個T(T=20±1°C)上的吸附,從而最大程度地減少了其氧化。抗氧化劑,其可在高溫下是明顯的。苔蘚植物單個化合物的鑒定和定量未進行水提取物的提取是因為這項研究的重點是從植物水提取物中吸附酚類化合物,因此我們計劃在未來的某些應用中使用抗氧化劑而不是純化合物的混合物,例如,旨在分析其在植物體內的效率的研究。盡量減少基于脂質的功能化食品的氧化。根據我們的試驗結果,活性炭對于水性提取物的吸附行為是類似于純化合物,因為它們都符合Freundlich吸附等溫線。這樣的觀察表明,抗氧化劑在水溶液中的溶解度似乎對其在活性炭上的吸附過程起著重要作用。
總而言之,在這里活性炭的使用提供了一種從植物提取物中去除多酚的環保方法。純多酚在活性炭(例如沒食子酸和沒食子酸丙酯)上的吸附特性可提供有關復雜植物提取物吸附行為的見解。從這個意義上講,沒食子酸和沒食子酸丙酯在不同溫度下的吸附動力學擬合為擬一階方程,具有良好的相關系數,并且在接觸時間4小時后達到平衡。通過平衡實驗,成功地預測了純化合物和苔蘚植物水提取物的實驗數據。由于溫度不會影響活性炭對所研究的抗氧化劑的吸附能力,因此在可靠的條件下(T=(20±1)°C)分析了苔蘚植物提取物的吸附,從而確保了其對多酚成分的化學氧化的保護作用。
結果表明,來自苔蘚植物水提取物的多酚化合物可成功吸附在活性炭上(在7 mg 活性炭下>99%)。通過避免傳統提取和純化方法的典型缺點,結果可作為將來活性炭在從植物提取物中回收抗氧化劑的應用的起點。一些活性炭在食品工業中使用的,因此它們可以用作食品添加劑,并富含植物提取物中的天然抗氧化劑。然而,解吸過程可能不是一個簡單的任務,并且正在研究潛在的解吸過程,以及使用負載有植物提取物中抗氧化劑的活性炭作為脂質類產品中的添加劑,以例如最大程度地減少脂質的氧化。
文章標簽:椰殼活性炭,果殼活性炭,煤質活性炭,木質活性炭,蜂窩活性炭,凈水活性炭.推薦資訊
- 2025-11-19活性炭吸附重晶石混合物中的銅和鋅
- 2025-11-10活性炭去除PFAS
- 2025-11-03防一氧化碳霍加拉特劑
- 2025-11-03防汞蒸汽專用炭防放射性碘專用炭
- 2025-11-03防酸專用炭與防氨專用炭
- 2025-11-03防護服專用炭及全防炭的介紹應用
- 2025-10-21活性炭從堿性甘氨酸溶液中吸附鉑
- 2025-10-10活性炭金屬改性對氫的吸附
- 2025-09-29活性炭吸附有機微污染物
- 2025-09-17活性炭去除對羥基苯甲醚
- 2025-09-09活性炭從水溶液中吸附苯酚
- 2025-08-27活性炭從水溶液中分離甲乙酮
