電話:13570151199
傳真:020-39972520
郵箱:hanyan@hanyancarbon.com
地址:廣東省廣州市番禺區東環街番禺大道北555號天安總部中心30號樓6層
每年,在工業廢水排放中含有大量氰化物和重金屬,這些廢水來自合金,汽車制造,采礦處理,和金屬電鍍工業中。金屬表面處理和電鍍制造裝置是這些污染物的主要來源,這些污染物是水系統及其周圍環境污染的主要原因。因此,必須控制這些廢水中重金屬(Cr,Ni和Zn)的存在,因為這些污染物即使在低濃度下也會因其高毒性而引起環境問題。我們通過粉末狀活性炭吸附和用二乙基二硫代氨基甲酸鈉改性的活性炭吸附同時去除重金屬如Cr,Ni和Zn,下面是我們的實驗結果。
活性炭改性思路:具有大疏水基團的二硫代氨基甲酸酯分子強烈地吸附重金屬到表面并且可以改變金屬吸附劑的特性以獲得更有利的吸附條件。在二硫代氨基甲酸酯衍生物中,在活性炭中使用二乙基二硫代氨基甲酸鈉(銅試劑)。活性炭由于銅試劑的附著,重金屬(Cu,Zn)與活性炭表面之間的親和力得到改善。SDDC也被用作多壁碳納米管中的螯合劑作為固相萃取的吸附劑,然后在高效液相色譜中測量水樣中的Ni,鈷(Co)和汞(Hg)離子。
使用銅試劑進行活性炭修改
使用干燥的活性炭12克用250mL的在5.30 mmol/L的銅試劑溶液中,條件在50℃下在200rpm的持續攪拌。在該處理之后,將混合物通過0.45-μm膜濾器過濾以分離吸附劑,然后用蒸餾水洗滌。然后將銅試劑改性的活性炭在100℃下烘箱干燥12小時。兩種吸附劑在使用前在100℃下干燥8小時。
吸附實驗
為了檢驗時間和初始pH對重金屬吸附的影響,進行實驗室規模和批量吸附實驗。通過添加儲備溶液,在蒸餾水樣品中將每種金屬(Cr,Ni和Zn)的初始濃度設定為50mg/L。將pH為5至11的含有30g/L的活性炭和改性活性炭注入人造重金屬廢水樣品中。注射后,在反應過程中以50rpm的恒定速度攪拌樣品。在實驗的最后一步,從燒瓶中收集樣品并進行分析。
活性炭和改性活性炭的表征
首先,檢查每種吸附劑的物理化學特性。圖1顯示了制備的吸附劑的SEM圖像和EDS圖案。雖然僅活性炭吸附劑的表面僅由碳組成,而改性活性炭由碳和各種無機元素組成(圖1)。在用銅試劑修飾后,銅試劑化合物中的硫存在于改性活性炭表面上。該結果意味著銅試劑成功地吸附到活性炭表面。

圖1:(a)活性炭和(b)改性活性炭的SEM圖像和EDS圖案。
吸附動力學
測量了活性炭和改性活性炭競爭性金屬去除動力學中的時間效應。圖2顯示了使用活性炭和改性活性炭對時間對重金屬吸附的影響。活性炭上重金屬吸附的最佳時間為8小時,改性活性炭的最佳時間增加至約12小時(圖2)。此外,活性炭對Zn的吸附率最高,其次是Cr,然后是Ni。相反,改性活性炭對Cr的吸附率最高,其次是Zn,然后是Ni(圖3)。重金屬吸附競爭序列是可變的,但統計學上最常見的序列是Cr,其次是Zn,然后是Ni。在這項研究中,活性炭沒有遵循這一規則而改性活性炭確實如此。這種現象沒有明確的理由,需要進一步研究。

圖2:使用(a)活性炭和(b)改性活性炭對重金屬的吸附去除的影響。
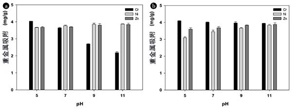
初始pH值對吸附的影響
為了檢驗初始pH對吸附的影響,在不同的pH條件下進行吸附實驗。圖3顯示了初始pH對重金屬吸附的影響。隨著pH的增加,當使用活性炭時,Ni和Zn的吸附去除率略有增加,而Cr去除率顯著下降(圖3(a))。在酸性pH條件下H+離子的濃度和遷移率越高,由于金屬和H+離子之間的競爭性吸附,導致Ni和Zn的吸附減少。當pH低于pH pzc時,活性炭的表面可主要被H+離子覆蓋。由于這個原因,活性炭表面上有限的可用結合位點,金屬陽離子(Ni和Zn)的吸附在較低的pH值下會降低。然而,當pH增加時,金屬和H+離子之間的競爭會降低,因此Ni和Zn的吸附會增加。

圖3:初始pH對Cr,Ni和Zn的吸附去除的影響使用。
通過檢測時間,吸附劑用量和初始pH對每種吸附劑的吸附動力學的影響,研究了使用活性炭和銅試劑改進的活性炭去除Cr,Ni和Zn金屬。通過SEM,EDS和物理化學測量確認活性炭的改性。增加時間可增強重金屬的吸附。兩種吸附反應均遵循假二級反應。隨著吸附劑用量的增加,去除效率提高。使用活性炭去除重金屬遵循Cr>Ni>Zn的降序,對于改性活性炭,去除結果按Cr>Zn>Ni的順序排列。活性炭顯示在酸性和中性pH下有效去除Cr,Ni和Zn,改性活性炭在堿性pH條件下特別有效。我們的結果表明,改性活性炭可用于去除這些堿性金屬電鍍廢水,特別是含Cr廢水。
文章標簽:椰殼活性炭,果殼活性炭,煤質活性炭,木質活性炭,蜂窩活性炭,凈水活性炭.推薦資訊
- 2025-11-19活性炭吸附重晶石混合物中的銅和鋅
- 2025-11-10活性炭去除PFAS
- 2025-11-03防一氧化碳霍加拉特劑
- 2025-11-03防汞蒸汽專用炭防放射性碘專用炭
- 2025-11-03防酸專用炭與防氨專用炭
- 2025-11-03防護服專用炭及全防炭的介紹應用
- 2025-10-21活性炭從堿性甘氨酸溶液中吸附鉑
- 2025-10-10活性炭金屬改性對氫的吸附
- 2025-09-29活性炭吸附有機微污染物
- 2025-09-17活性炭去除對羥基苯甲醚
- 2025-09-09活性炭從水溶液中吸附苯酚
- 2025-08-27活性炭從水溶液中分離甲乙酮
