電話:13570151199
傳真:020-39972520
郵箱:hanyan@hanyancarbon.com
地址:廣東省廣州市番禺區東環街番禺大道北555號天安總部中心30號樓6層
活性炭吸附氯化氫-燃料電池應用,在固體氧化物燃料電池的應用中帶有氯化氫和硫化氫的氣體會對電池性能產生影響,所以氣體凈化是非常有必要的。使用吸附劑凈化氣體是一種非常適用的方法,本期我們在流式固定反應器中進行實驗,以分析幾種活性炭和改性活性炭與其他吸附劑的吸附容量。用浸漬的活性炭和金屬氧化物吸附劑完成氯化氫和硫化氫的去除。
燃料電池的主要應用是固定電力設備,這包括用作車輛動力的熱電聯產裝置,用作航天器(質子交換膜燃料電池)的車載電力或其他封閉環境。固體氧化物燃料電池一般使用沼氣來轉化電能,但是沼氣中會帶有氯化氫會導致脆弱的發電組件腐蝕,氯化氫是沼氣原料中的主要燃料雜質之一,為了固體氧化物燃料電池的成功運行,應將其去除到一定程度。活性炭只能吸附一部分的氯化氫,所以我們這次使用的活性炭是經過改性的。
活性炭吸附劑實驗測試
碳酸鉀浸漬的活性炭和其他混合物的兩種吸附劑的物理特性。高揮發性和有害物質,如硫化氫和氯化氫僅在很小程度上吸附在活性炭上。因此,純物理吸附過程是不可行的。這些污染物需要通過化學吸附來除去,這種相互作用比物理吸附強得多。相互作用是一種真正的化學鍵,其中電子在氣體和固體表面之間共存。如果在溫度和壓力條件有利的情況下在所有表面上發生物理吸附,則化學吸附僅發生在某些表面上并且僅在這些表面無其他吸附物時才發生。當吸附物不再與表面直接接觸時,化學吸附停止。因此,它是單層過程。通常,物理吸附和化學吸附同樣快。吸附中的速率決定步驟不是吸附本身。通過圍繞顆粒的邊界層的質量傳遞以及活性炭孔隙中的質量傳遞形成速率確定步驟。
為了分析氯化氫對活性炭吸附容量的影響,使用具有100和1000ppmv氯化氫含量的測試氣體與氮氣平衡。將這些氣體混合并裝瓶。經混合的測試氣體的相對測量不確定度為3%。這意味著對于1000ppmv氯化氫氣體混合物,100ppmv氯化氫氣體混合物的準確度為3和30ppmv。為了研究氯化氫和硫化氫的同時吸附,使用具有100ppmv氯化氫和200ppmv硫化氫的氣體混合物。
測試程序
使用碳酸鉀浸漬的活性炭和其他混合物的兩種吸附劑進行變化類型的試驗。將測試氣體混合物通過玻璃制吸附器和氣體洗滌瓶,同時以30秒的時間步長監測氣體洗滌瓶中去離子水中的pH值。根據以下程序進行典型的測試:校準包括pH電極的pH計,將測量的活性炭和其他混合物吸附劑添加到吸附器中和150ml用安裝了pH電極的去離子水添加到氣體洗滌瓶中。連接所有管道后,通過氮氣檢查所有儀器的密封性。在得到數據記錄之后,將測試氣體混合物輸送到吸附器中。連續測量pH值,每30秒記錄一次。在pH值降至3以下后停止試驗。之后,基于pH值變化計算在試運行時通過吸附器的氯化氫的量。
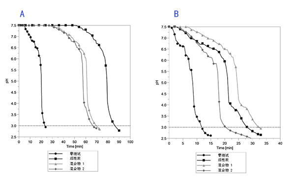
圖1a顯示了在上述的試驗結果。可以看出,在22分鐘后,氣體洗滌瓶中的pH值降至3以下,而在反應器中不使用活性炭吸附劑樣品。用活化的氧化鋁樣品裝載反應器分別產生66和71分鐘的穿透時間。用浸漬的活性炭實現了最佳性能,即氯化氫吸附容量為0.0288g/g。將氣體流速提高所取得的結果如圖1b所示。要進行的第一次試驗是在反應器中沒有活性炭吸附劑負載,并且在12分鐘后氣體洗滌瓶中去離子水的pH值降至3以下。對于浸漬的活性炭,氯化氫吸附容量從0.0288g/g降低至0.0172g/g。

圖1、活性炭對氯化氫的吸附性能。反應溫度20°C,氯化氫入口濃度1000ppmv,顆粒大小3-4毫米。
除了氣時空速和入口濃度外,活性炭吸附劑顆粒尺寸是影響吸附性能的參數之一。在吸附裝置的設計中,它是一個限制因素,因為除了裝置大小外,顆粒尺寸對于壓降是決定性的。
必須將沼氣中的氯化氫去除到一定水平,以確保固體燃料電池的無故障運行。研究了碳酸鉀浸漬活性炭的吸附性能。計算了氯化氫吸收量,即活性炭的利用程度的值。在不同的氣時空速,入口濃度和粒徑下研究了氯化氫的吸附容量。在使用活性炭的低溫氯化氫吸附的這項測試中得出以下結論:
1、活性炭的氯化氫吸附能力取決于反應器中進料氣體和活性炭之間的接觸時間。氣時空速越高,接觸時間越短,活性炭吸附性能下降。活性炭樣品在氣時空速8000h -1時獲得了最佳結果。將氣時空速增加至16000h -1對活性炭具有一定的影響。
2、在氣時空速16000h -1下進行的試驗運行中,將活性炭顆粒粉碎成500至1000微米之間的顆粒會使氯化氫的吸附量加倍。從技術上講,粉碎活性炭顆粒增加了接觸面積,這應該會帶來好的效果,然而較小的顆粒,擴散路徑較短。然而,在8000h -1的氣時空速下進行的測試并未證實該理論。活性炭僅通過壓碎顆粒獲得了最小的益處。這背后的原因可能是將活性炭壓碎成顆粒破壞了大孔隙。
3、增加氯化氫的入口濃度導致以下發現:由于濃度梯度增加,可以實現活性炭多吸附15%的氯化氫,這是吸附分離的驅動力。另外,當氯化氫入口濃度從100增加到1000ppmv時,測試運行時間幾乎減少了10倍。換句話說,原料氣體的更多的氯化氫分子會導致活性炭上的游離吸附位點更快地飽和。
4、磷酸鉀能夠吸附氯化氫和硫化氫,由于熱力學系統力求最小的自由能,因此優選吸附具有較高鍵合能的組分。以8000h -1和16000h -1的空速進行的兩次試驗證實了用浸漬的活性炭同時吸附的可能性。
文章標簽:椰殼活性炭,果殼活性炭,煤質活性炭,木質活性炭,蜂窩活性炭,凈水活性炭.推薦資訊
- 2025-11-19活性炭吸附重晶石混合物中的銅和鋅
- 2025-11-10活性炭去除PFAS
- 2025-11-03防一氧化碳霍加拉特劑
- 2025-11-03防汞蒸汽專用炭防放射性碘專用炭
- 2025-11-03防酸專用炭與防氨專用炭
- 2025-11-03防護服專用炭及全防炭的介紹應用
- 2025-10-21活性炭從堿性甘氨酸溶液中吸附鉑
- 2025-10-10活性炭金屬改性對氫的吸附
- 2025-09-29活性炭吸附有機微污染物
- 2025-09-17活性炭去除對羥基苯甲醚
- 2025-09-09活性炭從水溶液中吸附苯酚
- 2025-08-27活性炭從水溶液中分離甲乙酮
