電話:13570151199
傳真:020-39972520
郵箱:hanyan@hanyancarbon.com
地址:廣東省廣州市番禺區東環街番禺大道北555號天安總部中心30號樓6層
多溴聯苯醚廣泛存在于沉積物中,尤其是五溴二苯醚配方中的同源物。由于它們對活性炭的強烈親和力,在活性炭修正的沉積物中多溴聯苯醚的生物利用度可能會降低。在這項研究中,我們首先測量自由溶解濃度,并評價活性炭,生物炭和木炭之間的差異。活性炭顯示出比生物炭或木炭更大的隔離能力。在與低的有機碳(OC)的含量(0.12%),沉淀物1%修正率。活性炭、生物炭和木炭分別使6種多溴二苯醚降低了94.1-98.3%,47.5-78.0%和47.3-77.5%,而含OC量高的沉積物中封存更為有限(0.87%)。因此,重要的是要考慮基于活性炭的修復或緩解中活性炭和沉積物的類型和性質。
多溴聯苯醚(PBDEs)是一組疏水性溴化阻燃劑,廣泛用于各種消費品,從汽車配件,塑料,紡織品,家具泡沫到電子設備,以防止火災的蔓延。主要使用三種商業化的PBDEs配方,即五溴二苯醚,十八溴二苯醚和十溴二苯醚,其中五溴二苯醚由于其占主導地位的全球消費量和相對較高的生態毒性而受到更多關注。活性炭可以增強沉積物中HOCs的吸附或固定。活性炭吸附劑已被廣泛用于污染治理,以隔離床沉積物中的HOC并減少其對水柱的通量。然而,活性炭材料的起源和物理化學性質(例如,表面積,微孔隙)差異很大,對它們的差異對隔離沉積物PBDEs的效果了解得比較少。
根據不同的原料,燃燒方法以及廣泛的可用性和應用,選擇了三種不同的材料,包括活性炭,木炭和生物炭。活性炭。木炭來源于木質素材料在400°C下的燃燒。生物炭樣品是通過原料在400℃下不完全燃燒而產生的。將所有活性炭材料在研缽中研磨,通過100目(0.149mm孔徑),并在使用前在室溫下儲存。如上所述分析活性炭材料的OC含量。使用表面積分析儀,通過BET氮等溫線測定比表面積(SSA)和微孔率。活性炭,生物炭,木炭。
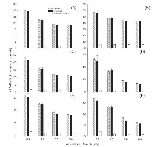
為了比較活性炭材料降低沉積物中不含多溴二苯醚的C的有效性,在用于纖維暴露之前,用活性炭,木炭或生物炭對JL和SD沉積物進行了修正。在沉淀物中加入100μg/ kg的每種多溴二苯醚同源物,并如上所述平衡7天,然后在0(未修正對照),0.5,1.0,1.5,3.0和6.0下與活性炭,木炭或生物炭混合。基于沉積物干重的%。活性炭修正的沉積物在120rpm下混合7天以產生PBDE污染的沉積物樣品。將等份的經修正的沉淀物(1.0g,干重),一片1cm PDMS纖維和1.5mL水置于20mL玻璃小瓶中以測量C 自由度如上所述的PBDEs。混合7天后,回收PDMS纖維,提取并分析。

圖1:活性炭在混合條件下沉積物中PDMS纖維的吸收動力學。
隔離多溴聯苯醚中活性炭類型的差異
在平衡時,通過活性炭吸附或隔離PBDEs反映了它們在PDMS纖維(C PDMS)上檢測到的水平的變化。在JL沉積物中,隨著活性炭修正,C PDMS顯著下降,并且活性炭的類型之間的減少不同(圖2)。例如,當用生物炭以0.5%修正JL沉積物時,C PDMS降低至未沉降沉積物中的水平的30.0-67.8%。木炭(29.7-63.5%)的效果與生物炭相似(圖2)。相比之下,活性炭修正沉積物中C PDMS的下降幅度更大(圖2))。例如,在含有0.5%活性炭的JL沉淀物中,對于不同的同源物,C PDMS降低至未改良處理的水平的1.8-8.1%。平均而言,添加1.0%的活性炭導致所選BDE同系物的C PDMS降低至對照水平的1.7-5.9%,這表明活性炭在沉積物中螯合PBDEs的能力遠遠高于其他黑碳材料。

圖2:水中沉積物中PDMS纖維上的BDE 47(A),85(B),99(C),100(D),153(E)和154(F)濃度用不同類型的活性炭的隔離效果。
在這項研究中,開發了一種方法用于測量沉積物中不含多溴二苯醚的C,該方法進一步用于比較不同活性炭材料通過降低C free來封存多溴聯苯醚的效率。該研究的結果表明,盡管不含多溴二苯醚的C通過活性炭修正而降低,但不同類型的活性炭之間的降低差異很大,活性炭顯示出比生物炭或木炭更高的效率。此外,可能由于其微孔的分布不同,活性炭優先隔離低溴化溴化BDE,而生物炭或木炭顯示出選擇性吸附高溴化溴化二苯醚。減少C.免費由同一活性炭修正案還沉積物之間的差異很大,和更高的OC含量似乎抑制炭黑的效果。另一方面,活性炭的隔離能力可能由于老化效應而改變,因為天然有機物質或膠體可能競爭吸附位點或阻塞微孔。因此,在應用于受污染沉積物的原位修復之前,需要進一步了解老化對活性炭多溴二苯醚和其他HOCs的隔離作用以及對活性炭類型的依賴性。
文章標簽:椰殼活性炭,果殼活性炭,煤質活性炭,木質活性炭,蜂窩活性炭,凈水活性炭.推薦資訊
- 2025-11-19活性炭吸附重晶石混合物中的銅和鋅
- 2025-11-10活性炭去除PFAS
- 2025-11-03防一氧化碳霍加拉特劑
- 2025-11-03防汞蒸汽專用炭防放射性碘專用炭
- 2025-11-03防酸專用炭與防氨專用炭
- 2025-11-03防護服專用炭及全防炭的介紹應用
- 2025-10-21活性炭從堿性甘氨酸溶液中吸附鉑
- 2025-10-10活性炭金屬改性對氫的吸附
- 2025-09-29活性炭吸附有機微污染物
- 2025-09-17活性炭去除對羥基苯甲醚
- 2025-09-09活性炭從水溶液中吸附苯酚
- 2025-08-27活性炭從水溶液中分離甲乙酮
