電話:13570151199
傳真:020-39972520
郵箱:hanyan@hanyancarbon.com
地址:廣東省廣州市番禺區東環街番禺大道北555號天安總部中心30號樓6層
今天小編介紹一下環己烷的無溶劑氧化活性炭,活性炭的原材料由磷酸浸泡在380℃的環境中加入惰性氣體下碳化制成,隨后用過氧化氫活化。活性炭通過SEM,EDX,FTIR,TGA和BET表面積和孔徑分析儀表征。在自制雙壁三頸批料中研究了在中等溫度的分子氧存在下,活性炭作為環己烷無環氧化成環己醇和環己酮(該混合物稱為KA油)的催化劑的潛力反應堆。對不同反應參數/添加劑的影響進行了優化。
活性炭在19世紀初被首次報道為有效催化劑[。十九世紀初期,活性炭通常由不同農業原料的熱活化法制備,作為過氧化氫降解的催化劑進行了研究。活性炭對過氧化氫分解的催化活性非常好,但持續時間短。用于分解過氧化氫的催化活性消失的最可能的原因可能是活性炭表面上的氧化基團的失活。近幾十年來研究人員成功地解決了活性炭耐久性的主要問題。通過物理,物理,化學和化學活化,活性炭被調整以顯示出良好的催化活性在光氣,硫化氫的生產中,氫化,聚合,鹵化,除去SO 2 和NO x 和芐醇的氧化。活性炭的這種性能歸因于其孔隙度,活性位點和高表面積。因此,通過控制這些參數,活性炭就可以被調整為用于選擇的有機轉化的有效催化劑。

活性炭實驗條件與過程
在目前的工作中,在溫和的反應條件下,在氧氣存在下,將活性炭用作無金屬催化劑,用于無環氧化的環己烷氧化成KA油。優化了反應參數,并在生產率方面發現了催化效率。制備的便利性,活性足夠,低成本,可回收性,不滲透性和環保性使得活性炭成為環己烷無溶劑氧化的有用催化劑。
通過掃描電子顯微鏡研究了活性炭的表面形態。通過使用能量色散X射線光譜法記錄活性炭的元素組成。通過X射線衍射儀進行X射線分析。通過傅里葉變換紅外光譜儀檢查活性炭表面上的官能團。通過TGA熱分析儀在0/1000℃的溫度范圍內 以10℃/ min的速率在N 2流下進行熱量的重量損失百分比 。使用鉻表面積分析儀測量活性炭的表面積。

將環己烷(12.5mL)和活性炭(0.4g)裝載到自設雙壁三口式間歇式反應器中。在分子氧(40mL / min)存在下,在75℃下攪拌混合物14小時 。在相同的一組反應參數中,堿性NaOH:0.2 mmole的存在下也進行反應。通過氣相色譜分析環己烷轉化為KA油,使用交聯甲基硅氧烷毛細管柱(30μm,內徑0.32mm, 米 m膜厚度),與火焰離子化檢測器(FID)相連。
通過SEM分析活性炭的表面形態。SEM圖像顯示了多孔結構,微孔/中孔與活性炭內表面連接的交聯通道的混合,如圖 1 。高放大倍率顯示2到10的腔的存在μ 米 ,可以方便地訪問內部微孔和中孔。此外,EDX分析(圖 2 )顯示痕量的磷和二氧化硅, 那些是花生殼的主要內容。

活性炭實驗結果與討論
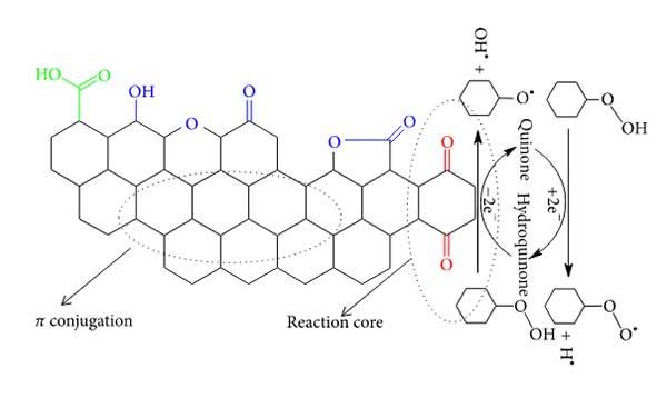
在活性炭表面,含氧官能團負責將環己烷氧化成環己醇和環己酮。據廣泛報道,活性炭表面與分子氧通過含氧官能團如羰基,酮和醌。此外,通過含氧表面官能團活性炭發生氧化反應,而這些官能團通過分子氧再生。在最近的研究中,探討了除其他含氧基團之外,醌基是環己烷氧化最穩定和主要來源。醌/氫醌體系的芬頓樣機理是環己烷氧化傳播的最有可能途徑。喹諾酮通過連續氧氣鼓泡在反應混合物中由氫醌再生。表面官能團(品種/密度)可以通過化學/熱處理。在最近的研究中,如TGA所示,通過熱處理調整活性炭表面上產生的氧官能團。活性炭在高溫580℃下處理;。因此,唯一現有的含氧官能團將是醌。確認高溫(700°C)下醌官能團的穩定性。同樣,喹諾酮官能團的穩定性高達800°C。因此,總結一下,環己烷氧化成環己醇和環己酮遵循方案所示的機理 。
活性炭通過化學方法合成,并用低分子氧在環己烷中無溶劑氧化。通過熱處理來調節活性炭以發展表面上的醌官能團。最佳反應參數設定如下:反應物115.56mmol、活性炭0.4g、 溫度75℃、時間14小時。將催化劑的催化活性與目前研究的重要性的生產率的基礎上報告的文獻進行比較。催化劑重復使用數次,這表明催化劑的耐久性。研究結果表明,醌基官能團是用分子氧氧化環己烷再生性能的最佳反應核心。活性炭被發現是具有延長壽命的真正的異相催化劑。
文章標簽:椰殼活性炭,果殼活性炭,煤質活性炭,木質活性炭,蜂窩活性炭,凈水活性炭.推薦資訊
- 2025-11-19活性炭吸附重晶石混合物中的銅和鋅
- 2025-11-10活性炭去除PFAS
- 2025-11-03防一氧化碳霍加拉特劑
- 2025-11-03防汞蒸汽專用炭防放射性碘專用炭
- 2025-11-03防酸專用炭與防氨專用炭
- 2025-11-03防護服專用炭及全防炭的介紹應用
- 2025-10-21活性炭從堿性甘氨酸溶液中吸附鉑
- 2025-10-10活性炭金屬改性對氫的吸附
- 2025-09-29活性炭吸附有機微污染物
- 2025-09-17活性炭去除對羥基苯甲醚
- 2025-09-09活性炭從水溶液中吸附苯酚
- 2025-08-27活性炭從水溶液中分離甲乙酮
