電話:13570151199
傳真:020-39972520
郵箱:hanyan@hanyancarbon.com
地址:廣東省廣州市番禺區東環街番禺大道北555號天安總部中心30號樓6層
活性炭增值厭氧沼渣栽培螺旋藻
厭氧消化是將有機物轉化為沼氣的生物過程,通過厭氧消化過程增加的沼氣產量引起了對液體消化物管理的一些問題,如果處理不當,可能會帶來一些環境風險。在處理消化物的不同技術中,微藻和藍藻培養已成為一種可持續的方法,可以在消化物中產生有價值的生物質,用于生產生物燃料和高價值生物產品。然而,液體消化物的內在參數可以強烈限制微藻或藍細菌的生長以及限制殘余營養物的吸收。在這項研究中,活性炭的處理潛力在螺旋藻之前對農業工業液體沼渣進行了評估栽培。
厭氧消化物和活性炭
使用的沼渣是在沼氣廠收集的,該工業廠房由兩個7000m3的消化池組成,在中溫條件下運行,平均產生511Nm3/h的甲烷。原料主要由農業殘留物、動物糞便和食物垃圾組成。消化液直接從消化罐中取樣,隨后以50µm過濾以去除大顆粒。過濾后,在測試不同的吸附劑之前將其儲存在-20℃。活性炭在高于 800℃的溫度下對材料進行了熱活化。在本研究中,通過混合20mL消化物和不同吸附劑濃度(5、10、25、50和100g/L)進行消化物預處理實驗。將混合物在室溫下以250rpm的速度保持攪拌2小時。在實驗結束時,雙相系統以10,000rpm離心5分鐘,上清液在分析前用1.6µm過濾器過濾)。
藍藻培養試驗
鈍頂螺旋藻將菌株在位于溫室的氣泡柱光生物反應器中培養并維持數天,并提供培養基(用軟化水稀釋兩次)和8g/L-NaHCO3。培養45天后,鈍頂藻培養物的光密度(680nm處)達到1.6,然后用作接種物。使用200mL的工作體積在250mL管中進行藍藻培養測定。接種體積固定為總工作體積的20%。用軟化水和藻類接種物稀釋處理過的消化物和原始消化物,以達到20×、40×和60×的適當稀釋倍數。為了評估是否有任何營養物質從接種物轉移到培養基中,將陰性對照在相同條件下僅用軟化水培養。在相同條件下研究了使用培養基的陽性對照。使用16/8小時的光/暗循環,人工光以60µmol/m2/s的平均強度照亮管子。通過以0.5–1L/min的流速連續注入空氣,使培養物保持攪拌狀態。
活性炭吸附試驗
厭氧消化過程產生的液體消化物是一種復雜的副產品,存在各種頑固化合物,通常會抑制藍藻增殖。因此,吸附預處理可用于降低消化物的整體毒性,以促進藍藻生長和養分吸收。然而,應深入研究選擇合適的吸附條件,以實現高解毒反應和相對較低的運行成本。
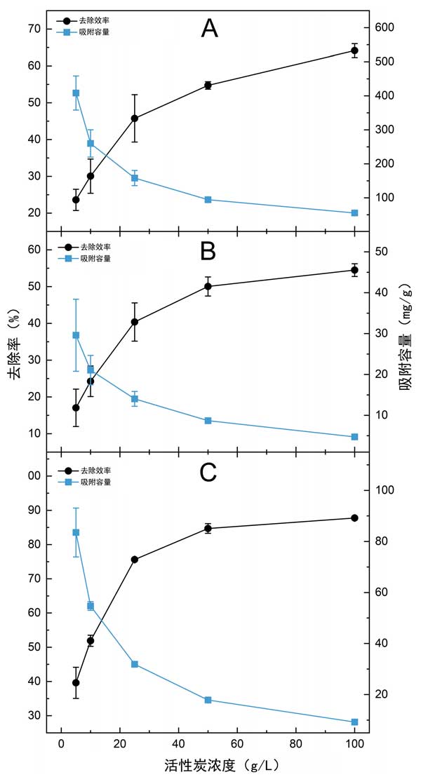
不同濃度的活性炭對整體沼渣解毒性能表現出不同的反應(圖1)。一般來說,吸附容量在低吸附劑用量時相對較高,隨著COD、磷酸鹽和苯酚參數的吸附劑濃度的增加而降低。在相同參數的去除效率的情況下觀察到相反的行為。例如,COD去除率從23.6%到64.2%不等,同時將吸附劑濃度從5g/L增加到100g/L(圖1A)。然而,統計分析表明,將吸附劑濃度從50增加到100g/L對COD去除效率沒有任何顯著影響(p-值>0.05)。使用100和5g/L的活性炭分別實現了54.5%的最高磷酸鹽去除率和29.6mg/g的吸附容量(圖1B)。正如對COD所觀察到的那樣,磷酸鹽吸附能力隨著解毒測試中使用的活性炭數量的增加而降低。此外,活性炭與消化物中存在的酚類化合物具有高度反應性。即使在5g/L的最低吸附劑濃度下,反應2小時后也去除了39.6%的初始苯酚濃度,對應的吸附容量為83.5mg/g(圖1C)。然后隨著活性炭濃度的升高,苯酚去除效率增加。在50g/L的活性炭下,從消化物中吸收了高達84.7%的苯酚,發現這與在100g/L下進行的處理具有相同的顯著性水平(去除了87.8%的苯酚)。

圖1:用幾種濃度的活性炭處理農用工業沼渣時,計算的COD(A)、PO4-P(B)和總酚(C)參數的吸附容量和去除效率。
栽培和生長特性
厭氧消化物中存在的大量和微量營養素的多樣性可能有利于藍藻代謝。即使活性炭預處理顯著降低了幾個參數,包括COD、濁度和苯酚含量,原料(4405mg/L)和預處理消化物(4220mg/L)的銨濃度仍然高于藍藻螺旋藻支持的閾值濃度(100–150毫克/升)。在這種情況下,使用以三種不同稀釋率稀釋的原始和預處理消化物進行了一系列藍藻毒性測定:20×、40×和60×。未稀釋的消化物,無論是否用活性炭處理,都沒有在本實驗中進行測試,因為初步培養分析表明它們對培養物毒性太大(數據未顯示)。因此,該實驗的目的是比較以不同稀釋率稀釋的兩種消化物以及兩個對照組之間的生長性能。連續測量680nm處的OD超過10天,以評估所有條件下的生長情況。在三種不同稀釋因子下測試的原始消化物(RD)和處理過的消化物(TD)條件下,觀察到類似生長趨勢(圖2A、B)。當增加原始和預處理消化物的培養基稀釋倍數時,會產生更高的生長反應。同樣,滯后期受原始消化物和預處理消化物的稀釋因子的影響,觀察到的滯后期越長,消化物越濃縮。例如,稀釋20倍和40倍的未處理消化物的滯后期分別持續4天和2天。在本研究中,根據稀釋倍數和預處理條件,使用221和71mg/L之間的初始銨氮(NH4+-N)濃度,鈍頂藻能夠增殖。一般而言,原始消化物和預處理消化物的更高稀釋度產生更高的生長。

圖2:使用兩個對照組(A)以及以不同稀釋倍數(20×、40×和60×)稀釋的原始消化物(B)和處理過的消化物(C)的鈍頂螺旋藻生長曲線。陽性和陰性對照分別指使用合成培養基和軟化水。
活性炭增值厭氧沼渣栽培螺旋藻,本研究中使用的活性炭對最初存在于農業工業沼渣中的幾種化合物具有顯著的吸附特性,包括顏色、苯酚、COD和磷酸鹽。一般來說,增加活性炭劑量會產生更高的去除效率,但會大大降低材料的吸附能力。另一方面,活性炭吸附劑對氨氮去除的影響可以忽略不計,所有研究的吸附劑劑量(≤100g/L)的初始濃度幾乎沒有變化。因此,必須稀釋預處理過的消化物(至少20倍),以降低銨的毒性并促進培養試驗期間的鈍頂藻增殖。將活性炭預處理與其他技術如離子交換材料(樹脂、沸石、粘土等)相結合以去除銨,可能是在不使用淡水輸入的情況下使用可持續藍藻培養基對厭氧消化沼渣進行增值的解決方案。
文章標簽:椰殼活性炭,果殼活性炭,煤質活性炭,木質活性炭,蜂窩活性炭,凈水活性炭.推薦資訊
- 2025-11-19活性炭吸附重晶石混合物中的銅和鋅
- 2025-11-10活性炭去除PFAS
- 2025-11-03防一氧化碳霍加拉特劑
- 2025-11-03防汞蒸汽專用炭防放射性碘專用炭
- 2025-11-03防酸專用炭與防氨專用炭
- 2025-11-03防護服專用炭及全防炭的介紹應用
- 2025-10-21活性炭從堿性甘氨酸溶液中吸附鉑
- 2025-10-10活性炭金屬改性對氫的吸附
- 2025-09-29活性炭吸附有機微污染物
- 2025-09-17活性炭去除對羥基苯甲醚
- 2025-09-09活性炭從水溶液中吸附苯酚
- 2025-08-27活性炭從水溶液中分離甲乙酮
