電話:13570151199
傳真:020-39972520
郵箱:hanyan@hanyancarbon.com
地址:廣東省廣州市番禺區東環街番禺大道北555號天安總部中心30號樓6層
活性炭用等溫線分析孔形成機制
活性炭通過原材料在KOH水溶液中的水熱碳化直接合成。通過調節溶液混合的KOH的量來改變活性炭的孔隙。再通過測量氣體吸附等溫線的孔隙率測定法提供了對固體孔隙通道性質的深入了解,特別是在其他技術不適用于孔徑大小的無序狀材料上。活性炭對于化學活化,雖然有多種致孔劑,但其中受歡迎的是堿金屬氫氧化物KOH和NaOH,因為它們有助于對孔隙率進行高度控制,對于KOH尤其如此。所以這次的研究是通過等溫線分析活性炭內孔隙的有些形成機制,為了以后能控制活性炭孔隙的形成方便定制生產。
炭合成
在使用和不使用致孔劑的情況下合成活性炭,但保持所有其他變量不變。一般情況下,這是通過在水熱碳化步驟中添加KOH來完成的。原材料在KOH水溶液中以5℃/分鐘-1的升溫速率在250和300℃下通過水熱碳化處理2小時。每個實驗中鋸末的濃度為0.32g/cm-3,而KOH原材料在每個熱液碳化溫度下從0.0、0.5到1.0變化。這產生了總共六種黑色漿料,它們在氧化鋁舟中在100℃下干燥,然后通過在氮氣下在800℃下加熱1小時(升溫速率3℃/分鐘-1)進行活化并使其冷卻獲得成品活性炭。
活性炭的擴散
在等溫線的測量過程中,當比較等溫點之間的時間t時,這種差異最為明顯,如圖1a所示。雖然活性炭的O2和N2等溫線以及活性炭的O2等溫線的t大致相似,但活性炭的N2等溫線在低相對壓力區的t高得多,單點測量時間長達10小時。這表明緩慢擴散可能與N2與活性炭孔隙度的某些特征的相容性有關。同樣,當比較其他炭的點之間所用的時間時在纖維素結構中用增加量的Na合成的樣品(圖1b)很明顯,通過使用致孔劑擴大孔隙率提高了N2擴散到孔中的能力,并且這種改進在某些時候會加速取代度介于0.7和0.9之間。

圖1:(a)O2和N2等溫線在活性炭上的相對壓力增加和(b)N2等溫線其他炭的點之間的時間。
雙擬合分析
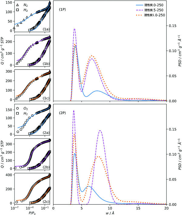
活性炭和其他炭對O2/H2和N2/H2等溫線的雙重擬合分別。如等溫線本身所示,使用O2/H2等溫線得出的活性炭(圖2(1P,2P)的PSD表明比使用N2/H2時具有更大的孔隙率,對于其他炭的PSDs也是如此。無論使用什么等溫線的子集,第一個大值的位置在所有派生的PSD中都是一致的,因為這主要來自H2等溫線。然而,關于第二個大值,活性炭和其他炭的兩組PSD提供的圖片略有不同。雖然N2/H2衍生的PSD顯示活性炭的孔徑只有很小的差異或確實有很小的減小,但O2/H2PSDs表明,當KOH用作致孔劑時,孔隙度從超微孔擴展到超微孔區域。此外,在第二個最大值中有一些PSD展寬的跡象。后一種敘述更符合目前對活性炭中孔形成的理解,因為在熱解過程中使用堿金屬氫氧化物致孔劑導致孔徑相對于通過生物質氣化形成的孔尺寸增加(即,不添加致孔劑的熱解)。同樣,根據兩個等溫線對的同時擬合內核,孔徑趨勢與致孔劑量的這種差異可能是N2等溫線的失敗,因為在分析期間未充分探測超微孔。

圖2:擬合樣品活性炭的N2/H2(1a,1b,1c)和O2/H2(2a,2b,2c)等溫線和所得的PSD(1P,2P)。
三向擬合分析
為了進一步了解O2/H2和N2/H2分析之間的差異,2D-NLDFT異質表面核同時適合某些樣品的所有三個(O2、N2、H2)等溫線。特別是,這里的目的是根據每個活性炭的活化程度比較擬合質量。在圖3中比較了活性炭0-300和活性炭1的擬合和PSD。當使用對數相對壓力軸檢查擬合時圖3(1b,2b),很明顯,活性炭0-300的擬合極差,特別是在低壓區域。雖然活性炭0-300的單獨O2/H2和N2/H2分析在等溫點低于P/Po=10-4時遇到問題,這個低擬合質量對于等溫線的整個低壓(即微孔)區域中的三向擬合非常顯著。

圖3:使用線性(1a,2a)和對數(1b)中的x軸同時擬合活性炭0-300(1a,1b)和活性炭1(2a,2b)的O2、N2和H2等溫線)尺度,以及從三向擬合(1c,2c)確定的PSD。
另一方面,活性炭1的三通配合要令人滿意得多。還值得注意的是,對于這兩個樣品,對H2等溫線的擬合總是很好,這表明不確定性是由于N2和O2等溫線而不是H2之間的分歧造成的。至于PSD,雖然活性炭1的峰位置與任一雙等溫線分析中看到的峰位置基本相同,但活性炭0-300的峰位置并不明顯。總而言之,雖然O2和N2之間的一致性適用于更高活化的樣品,但對于活化程度較低的所謂的其他炭樣品則不然。換言之,在探測超微孔時,O2和N2產生不同的PSD結果,這可歸因于N2擴散到較小孔中的能力較差。隨著孔隙率擴大到超微孔區域,可以通過任一吸附劑準確測量孔隙。
活性炭用等溫線分析孔形成機制,比較了使用堿金屬活化的活性炭的孔隙率,這是通過兩種雙等溫線分析方法確定的,即使用吸附對N2/H2和O2/H2。我們得出結論,理論上,N2改進的超微孔滲透可以通過允許系統在低壓下平衡更長的時間來實現,或者通過在更高溫度下測量等溫線來實現。然而,這些修改是不切實際的,因為在第一種情況下,等溫線測量的持續時間會過長。此外,使用O2和H2可以更真實地描繪孔隙率隨著氧化化學活化程度的增加,因為活性炭被越來越多的致孔劑活化。也就是說,隨著致孔劑/活性炭比率的增加,我們始終觀察到樣品的PSD變寬。隨著活化劑的量增加,觀察到孔寬度的收縮。由使用N2和H2導出的PSD給出的敘述不能通過目前對氧化化學活化過程中孔隙度發展機制的理解來解釋。致孔劑數量的增加對這些活性炭的細孔結構的微妙影響只能通過本工作中使用的高靈敏度方法檢測到。這種敏感性意味著為材料選擇合適的吸附劑至關重要。當試圖了解隨著活化劑量的增加而在活性炭中孔隙度的發展時,這個邏輯也應該擴展到吸附劑的使用。
文章標簽:椰殼活性炭,果殼活性炭,煤質活性炭,木質活性炭,蜂窩活性炭,凈水活性炭.推薦資訊
- 2025-11-19活性炭吸附重晶石混合物中的銅和鋅
- 2025-11-10活性炭去除PFAS
- 2025-11-03防一氧化碳霍加拉特劑
- 2025-11-03防汞蒸汽專用炭防放射性碘專用炭
- 2025-11-03防酸專用炭與防氨專用炭
- 2025-11-03防護服專用炭及全防炭的介紹應用
- 2025-10-21活性炭從堿性甘氨酸溶液中吸附鉑
- 2025-10-10活性炭金屬改性對氫的吸附
- 2025-09-29活性炭吸附有機微污染物
- 2025-09-17活性炭去除對羥基苯甲醚
- 2025-09-09活性炭從水溶液中吸附苯酚
- 2025-08-27活性炭從水溶液中分離甲乙酮
